近日,我校化学工程与能源技术学院2016级联合培养研究生付玲玲在应用化学类一区TOP期刊CarbohydratePolymers(影响因子4.811)上发表了题为Hierarchical structure and thermal behavior of hydrophobic starch-based films with different amylose contents的论文,我校李琳教授、研究生导师朱杰博士与合作导师李晓玺教授为论文的共同通讯作者。
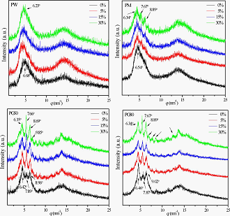
该论文在国家重点研发计划课题和国家自然科学基金项目的资助支持下完成,主要以不同分子结构的天然淀粉大分子为原料,采用酯化改性制备了高疏水性的改性淀粉,在此基础上进一步制备了天然可降解的淀粉基材料,着重探讨了淀粉分子结构差异对材料多尺度结构和热行为的影响规律。研究发现线性淀粉大分子在增塑剂的作用下,更易发生分子链间的相互作用而形成包括微晶结构在内的有序聚集态区域,从而影响无定型增塑剂富集区中分子链段的热运动行为。


本研究结果作为设计生物可降解包装材料的前期基础,下来将继续针对天然大分子结构特性及引入纳米粒子构筑复合包装材料进行探讨。